外国看病 致癌剂实际上是作为促癌物发挥功能而并非致癌物
发布日期:2019.09.05 14:30:12

暴露TAFB1而形成的肝细胞癌中,有一半在抑癌基因第249位密码子处发生点突变,即AGG—AGT。外国看病机构爱诺美康了解到,DNA中这些特定的变化为DNA中碱基与诱变致癌剂发生直接的相互作用提供了重要证据。这些结论是很重要的,很可能致癌剂实际上是作为促癌物发挥功能,而并非致癌物。AFBl一旦被肝中的CYP激活,产生的代谢物就能攻击鸟嘌呤,并通过共价键连接至该碱基,从而形成一个DNA加合物BLAFB1导致DNA中发生特定的G—T突变。
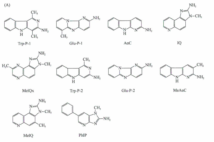
外国看病机构爱诺美康介绍,另一个研究比较多的外源致癌剂是杂环胺(heterocyclic,HCA),它们是多种肉类在高温烹制时大量形成的一类分子(图12.18A)。这些化合物是通过细胞中自然形成的分子之间的作用形成的,主要是肌氨酸、葡萄糖磷酸、二肽和游离氨基酸。HCA无疑具有致癌作用。例如,肉类高温烹制过程中形成较多的化合物2-氨基-1-甲基-6-苯基咪唑[4,5-Z>]吡啶(PhIP),能导致大鼠发生结肠癌和乳腺癌,导致小鼠形成淋巴瘤。PhIP被认为是人类饮食中关键的HCA。然而,这些和其他发现仍不能证明这些化学物质是能够真正导致人类肿瘤,目前已经提出肉类诱发癌变机制的其他模型。

一旦杂环胺进入细胞,即被CYP氧化。一些CYP氧化杂环胺的环,其他的氧化环外的氨基,即由环伸出的基团。出国看病机构爱诺美康了解到,CYP对环的氧化作用可以成功地解毒。然而,氨基氧化会形成...
下一篇:外国看病 更强的外源致癌剂之一是由曲霉属真菌合成的黄曲霉毒素B1一项研究显示,更强的外源致癌剂之一是由曲霉属真菌合成的黄曲霉毒素B1,外国看病机构爱诺美康了解到,曲霉真菌生长在保存不当的花生和谷物上。生活在AFB1高剂量环境中的人患肝癌(HCC)的风...
肺癌分期系统较为复杂,不过通常会综合考量肿瘤大小、淋巴结受累情况以及有无远处转移等因素。 对于非小细胞肺癌: 肿瘤较小且局限情况:若肿瘤直径小于3厘米,尚未侵犯周围重要结构,且未扩散至淋巴结,一...
有关食品风险和癌症:应该注意或避免什么?癌症确诊后,病人会问“有没有我应该吃或避免的特定食物?”这不是关于任何一种食物,也不是关于一种饮食;是关于饮食模式的。美国癌症研究所和美国癌症协会等组织推荐的饮食模式是以植物为主的全食物饮食。强调...
研究发现范式转换方法:训练免疫系统预防癌症作为世界上更阴险的疾病之一,癌症几乎没有完全根除它的治疗方法。现在,在密苏里大学罗伊·布朗特·下一代精密健康大楼工作的两名研究人员开创的一种新方法显示了预防香烟中致癌物引起的肺癌的有希望的...
患眼睑癌常见的几个风险因素眼睑上皮癌为发生在眼睑及附件的恶性肿瘤,多发生于50-75岁间,眼睑癌往往呈多形性。出国治病机构爱诺美康了解到,眼睑癌在临床上按病理类型可分为,基底细胞癌、睑板腺癌和鳞状细胞癌。它们均具有共同三大特点①...
遗传性肿瘤易感综合征中,畸形筛查与风险评估国外研究,崎形筛查先天性异常、良性肿瘤和不常见的皮肤特征在很多遗传性肿瘤易感综合征中均可见到。出国就医机构爱诺美康了解到,例如,FAP综合征的颌骨骨瘤,Gorlin综合征的手掌凹陷及Cowden综合征的口唇和黏膜...
-
美国国家儿童医院 美国国家儿童医院对爱诺美康转诊资质的认证。
-
西达赛奈医疗中心 西达赛奈医疗中心对爱诺美康转诊资质的认证
-
皇家马斯顿医院 爱诺美康与皇家马斯顿医院达成服务共识。
-
加州大学洛杉矶分校医学中心 加州大学洛杉矶分校医学中心(UCLA Health)与爱诺美康签署正式合作协议。
-
丹娜法伯癌症研究院 丹娜法伯/布列根和妇女医院癌症中心对爱诺美康转诊资质的认证。
-
麻省总医院(1) 麻省总医院对爱诺美康转诊资质的认证(NO.1页)。
-
麻省总医院(2) 麻省总医院对爱诺美康转诊资质的认证(NO.2页)。
-
辛辛那提儿童医院 辛辛那提儿童医院(美国2018-2019儿童肿瘤排名NO.1)对爱诺美康转诊资质的认证。

MD安德森癌症中心
丹娜法伯癌症研究院
辛辛那提儿童医院
克利夫兰医学中心
纪念斯隆凯特琳癌症中心
Mayo Clinic 梅奥诊所
麻省总医院
肺癌
乳腺癌
结肠癌
淋巴瘤
肉瘤
宫颈癌
卵巢癌
脑瘤
奥希替尼耐药,只剩3个月生存期,“笨办法”让我再次用上肺癌靶向药
晚期乳腺癌生命只剩6个月,她能逆袭吗?
为了多活10年,我带妈妈去美国治疗淋巴瘤
不认命 我带父亲去麻省总医院看肺癌
成功可以复制,美国这家医院再次治好晚期乳腺癌
肿瘤复发,我去美国看病的日子
北京淋巴瘤患者赴美治疗后,体内癌细胞完全消失
疫情之下,美国肿瘤专家弛缓晚期肠癌患者