出国看病 机体抵抗物理致癌剂的方法是有限的
发布日期:2019.09.05 15:20:12
一项研究显示,机体抵抗物理致癌剂的方法是有限的。出国看病机构爱诺美康了解到,相比之下,机体可以通过多种机制在化学致癌剂尚未对细胞基因组造成损伤之前阻断其作用。一系列酶包括超氧化物歧化酶和过氧化氢酶,可以清除活性氧和自由基,它们协同作用将活性氧转化为无毒的非活性形式。活性氧也可以被一系列自由基清除剂清除,包括维生素C、维生素E、胆红素和尿酸盐。这些分子可以与活性氧发生化学反应,使其失去毒性。

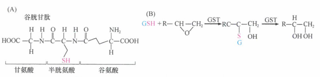
另一条重要的防线是谷胱甘肽转移酶类(GST),它们可将亲电化合物和许多致癌剂与谷胱甘肽相连接,从而使这些化合物去毒并以备进一步代谢和分泌(图)。出国看病机构爱诺美康介绍,值得注意的是,90%的人类前列腺癌表现出GST-tc表达的下调,由GS775基因启动子区甲基化所致,这也是肿瘤细胞下调多种抑癌基因表达的一种机制。人类许多其他肿瘤中也有GST-ti失活的报道。GST-ti表达的缺失通常发生在肿瘤进展的早期,表明前列腺癌细胞通过失活该基因获得了生长优势,结果增加了基因组的突变率。因此,如果没有GST清除一部分致癌因子,前列腺上皮细胞基因组将会更容易受到活跃诱变剂的攻击,其结果是导致突变率的增加,并加速推进肿瘤的进程。
出国看病机构爱诺美康介绍,谷胱甘肽转移酶及其在肿瘤中的丢失(A)谷胱甘肽是一个不常见的三肽,谷氨酸通过羟基侧链与半胱氨酸的氨基相连。谷胱甘肽-S-转移酶利用谷胱甘肽半胱氨酸残莪上的巯基使许多活性化合物在与细胞内目标分T(如DNA)作用前去毒。此处显示的是由GST调节的一个典型反应,谷胱扯肽中的巯莶用于去除被氧化化合物中的高活性环氧基团(R代表任何的化学基团)。高达90%的前列腺癌显示一种非常重要的谷胱甘肽转移酶GST-ti表达的缺失,使得肿瘤细胞失去了对许多亲电了-诱变剂解毒的能力。在许多这种病例中,GST-tt表达的缺失源于GSTP1启动了-的甲基化,利用GST-tt抗体进行免疫组织化学分析,证明在PIN(前列腺上皮内瘤变)损伤中,可以在基底上皮细胞中检测到GST-tt,而管腔内上皮细胞GST-ti的表达己经全部丢失。
一项研究表明,流行病学研究也提示了谷胱甘肽转移酶与肿瘤易感性的关系。海外看病机构爱诺美康了解到,其中一项研究检测了正常对照人群和脊髓发育不良(MDS)综合征患者,表现为骨髓增生症,...
下一篇:色素沉着在肿瘤发生中作用的突出例证一项研究发现,细胞保护自身基因组不被诱变剂损伤的更有效方法是,通过物理性防护使DNA分子免受直接攻击。出国看病机构爱诺美康了解到,以太阳的紫外辐射为例,紫外线很难穿透人体组织,因此...
肺癌分期系统较为复杂,不过通常会综合考量肿瘤大小、淋巴结受累情况以及有无远处转移等因素。 对于非小细胞肺癌: 肿瘤较小且局限情况:若肿瘤直径小于3厘米,尚未侵犯周围重要结构,且未扩散至淋巴结,一...
FDA接受Padcev Plus Keytruda用于某些膀胱癌症患者的申请美国食品和药物管理局(FDA)已受理Lenvima(lenvatinib mesylate)联合Opdivo(nivolumab)作为术前(新辅助)治疗的补充新药申请(sNDA),并将其作为不符合卡铂化疗条件的局部进展期胰腺癌(LAPC)患者的术后...
出国看病:Abemaciclib 免疫抑制剂可改善晚期乳腺癌 PROs根据2025年ASCO年会上提交的3期EMBer-3试验(NCT04975308)的数据,与内分泌治疗后经历疾病进展的雌激素受体(ER)阳性/HER2阴性晚期乳腺癌患者的标准护理内分泌治疗相比,使用imlunestrant(一种口服选择性雌激素受体...
出国看病:Fulvestrant 对转移性乳腺癌的 PFS 疗效显著根据2025年ASCO年会上公布的3期FINER试验(NCT04650581)数据,与安慰剂加氟维司汀相比,Ipatasertib联合氟维司汀显著延长了雌激素受体(ER)阳性、her2阴性转移性乳腺癌患者在一线CDK4/6抑制剂和芳香化酶抑制剂...
出国看病:术后 Nivolumab 加 SOC 延长了切除高危头颈癌的 DFS根据在2025年ASCO年会上公布的NIVOPOSTOP 3期试验(NCT03576417)的数据,在标准护理(SOC)顺铂和放疗的基础上添加辅助nivolumab (Opdivo),在复发风险高的切除的局部晚期头颈部鳞状细胞癌(LA-SCCHN)患者中,...
-
美国国家儿童医院 美国国家儿童医院对爱诺美康转诊资质的认证。
-
西达赛奈医疗中心 西达赛奈医疗中心对爱诺美康转诊资质的认证
-
皇家马斯顿医院 爱诺美康与皇家马斯顿医院达成服务共识。
-
加州大学洛杉矶分校医学中心 加州大学洛杉矶分校医学中心(UCLA Health)与爱诺美康签署正式合作协议。
-
丹娜法伯癌症研究院 丹娜法伯/布列根和妇女医院癌症中心对爱诺美康转诊资质的认证。
-
麻省总医院(1) 麻省总医院对爱诺美康转诊资质的认证(NO.1页)。
-
麻省总医院(2) 麻省总医院对爱诺美康转诊资质的认证(NO.2页)。
-
辛辛那提儿童医院 辛辛那提儿童医院(美国2018-2019儿童肿瘤排名NO.1)对爱诺美康转诊资质的认证。

MD安德森癌症中心
丹娜法伯癌症研究院
辛辛那提儿童医院
克利夫兰医学中心
纪念斯隆凯特琳癌症中心
Mayo Clinic 梅奥诊所
麻省总医院
肺癌
乳腺癌
结肠癌
淋巴瘤
肉瘤
宫颈癌
卵巢癌
脑瘤
奥希替尼耐药,只剩3个月生存期,“笨办法”让我再次用上肺癌靶向药
晚期乳腺癌生命只剩6个月,她能逆袭吗?
为了多活10年,我带妈妈去美国治疗淋巴瘤
不认命 我带父亲去麻省总医院看肺癌
成功可以复制,美国这家医院再次治好晚期乳腺癌
肿瘤复发,我去美国看病的日子
北京淋巴瘤患者赴美治疗后,体内癌细胞完全消失
疫情之下,美国肿瘤专家弛缓晚期肠癌患者