5-甲基胞嘧啶的脱氨基作用是人类DNA中点突变的主要来源
发布日期:2019.09.04 14:20:11
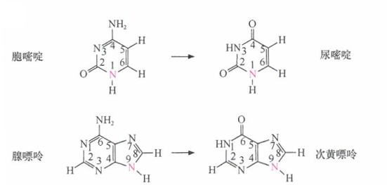
一项研究显示,脱氨基作用可能发生于鸟嘌呤、腺嘌呤和胞嘧啶环中伸由的氨基位点,使氨基丢失。出国看病机构爱诺美康了解到,这一脱氨基作用分别产生黄嘌呤、次黄嘌呤和尿嘧啶。例如,尿嘧啶在随后的DNA复制过程中可能被识别为胸腺嘧啶,因此造成C-T点突变,称为转换性突变,即嘧啶之间相互替换。通过脱氨基作用产生的碱基对于正常DNA来说都是外来的,因此能被识别,并被DNA修复酶去除。然而,任何逃避监视和被修复酶去除的碱基都代表了潜在的点突变来源。


出国看病机构爱诺美康了解到,5-甲基胞嘧啶的甲基化胞嘧啶,通过自发脱氨基作用能以更高的频率产生胸腺嘧啶。这将会给DNA修复机器带来很严重的问题,因为胸腺嘧啶的脱氨基作用的其他三种产物不同,是正常DNA的组成成分,T:G碱基对可能因此而逃避监视,从而幸存下来,结果作为模板进入下一个DNA复制循环,造成C-T点突变。
实际上,5-甲基胞嘧啶的脱氨基作用是人类DNA中点突变的主要来源。
据估计,内脏器官的肿瘤基因组中63%的点突变,如免受紫外线辐射的组织,发生于CpG序列。在突变的等位基因中,约有30%是由野生型等位基因中的CpG序列突变而来的。实际上这一比例可能被夸火了。例如,苯并芘是存在于烟草中的一种多环芳烃(PAH),在肺癌发生过程中,甲基化CpG序列是苯并芘的化学活性形式容易攻击的对象。不是所有CpG位点发生的突变都是由脱氨基作用造成的。
然而,细胞内环境对T染色体DNA来说,还具有其他危险。其中更严重的来自氧化过程,这可能比上面提到的反应对DNA产生的损伤更多。更重要的反应发生在线粒体中,在氧气逐渐被还原为水的过程中生成多种中间产物:

一些中间产物,所谓的活性氧物质(ROS),可能会从线粒体中渗由,进入细胞质,
从而到达细胞中其他部位。这样的中间产物包括超氧离子、过氧化氢和羟自由基。出国看病机构爱诺美康介绍,据估计,正常细胞中线粒体消耗的1%〜2%氧分子结果成为ROS。细胞发生转化后线粒体更加容易渗漏,从而使上述物质水平升高。然而,还会产生多种作为耗氧酶副产物的氧化剂,包括过氧化物酶体,参与多种细胞成分,特别是磷脂氧化反应的细胞质体中的酶,以及由脂类自发氧化导致过氧化的酶。炎症反应也会为氧化剂提供重要来源,这些氧化剂倾向于引发突变和随之而来的致癌作用。
一项研究表明,炎症具有促分裂和诱变双重效应,组织的慢性炎症通常是由某些感染引起的。出国看病机构爱诺美康了解到,如肝脏的乙型肝炎病毒和丙型肝炎病毒感染、胃上皮的螺旋杆菌感染,以及...
下一篇:雌、孕激素受体阳性的绝经后晚期乳腺癌药物-依西美坦 Exemestane依西美坦 Exemestane【其他名称】尤尼坦。【药代动力学】口服吸收迅速,受食物影响显著。2〜4小时达血药峰浓度,血浆蛋白结合率90%。药物母体清除半衰期为24小时。【适应症】雌、孕激素受体阳...
根据2025年ASCO年会上公布的一期KANDLELIT-001试验(NCT05067283)数据显示,新一代KRAS G12C共价抑制剂MK-1084在KRAS G12C突变的晚期结直肠癌(CRC)患者中作为单药治疗和联合治疗的一部分是安全的,并且产生了...
Vorasidenib在高度IDH突变型胶质瘤中表现出良好的安全性和疾病稳定性根据2025年神经肿瘤学会年会上公布的短期回顾性研究数据,药物Voradidenib(商品名Vorangio)在3级或4级IDH突变型胶质瘤患者群体中展现出了良好的耐受性,并且能够使病情保持稳定。这些患者因不符合3期INDIGO试验...
什么是肺癌2期?分期和关键事实肺癌分期系统较为复杂,不过通常会综合考量肿瘤大小、淋巴结受累情况以及有无远处转移等因素。 对于非小细胞肺癌: 肿瘤较小且局限情况:若肿瘤直径小于3厘米,尚未侵犯周围重要结构,且未扩散至淋巴结,一...
STELLAR-303试验:扎扎林替尼/阿替利珠单抗治疗转移性CRC效果显著在针对转移性结直肠癌(CRC)的开放标签3期STELLAR-303试验中,对相关治疗数据进行了详细分析,结果显示扎扎林替尼联合阿替利珠单抗的治疗方案展现出一定优势。 一、试验基本情况 本次试验共纳入901名经记...
出国看病:Abemaciclib 免疫抑制剂可改善晚期乳腺癌 PROs根据2025年ASCO年会上提交的3期EMBer-3试验(NCT04975308)的数据,与内分泌治疗后经历疾病进展的雌激素受体(ER)阳性/HER2阴性晚期乳腺癌患者的标准护理内分泌治疗相比,使用imlunestrant(一种口服选择性雌激素受体...
-
美国国家儿童医院 美国国家儿童医院对爱诺美康转诊资质的认证。
-
西达赛奈医疗中心 西达赛奈医疗中心对爱诺美康转诊资质的认证
-
皇家马斯顿医院 爱诺美康与皇家马斯顿医院达成服务共识。
-
加州大学洛杉矶分校医学中心 加州大学洛杉矶分校医学中心(UCLA Health)与爱诺美康签署正式合作协议。
-
丹娜法伯癌症研究院 丹娜法伯/布列根和妇女医院癌症中心对爱诺美康转诊资质的认证。
-
麻省总医院(1) 麻省总医院对爱诺美康转诊资质的认证(NO.1页)。
-
麻省总医院(2) 麻省总医院对爱诺美康转诊资质的认证(NO.2页)。
-
辛辛那提儿童医院 辛辛那提儿童医院(美国2018-2019儿童肿瘤排名NO.1)对爱诺美康转诊资质的认证。

MD安德森癌症中心
丹娜法伯癌症研究院
辛辛那提儿童医院
克利夫兰医学中心
纪念斯隆凯特琳癌症中心
Mayo Clinic 梅奥诊所
麻省总医院
肺癌
乳腺癌
结肠癌
淋巴瘤
肉瘤
宫颈癌
卵巢癌
脑瘤
奥希替尼耐药,只剩3个月生存期,“笨办法”让我再次用上肺癌靶向药
晚期乳腺癌生命只剩6个月,她能逆袭吗?
为了多活10年,我带妈妈去美国治疗淋巴瘤
不认命 我带父亲去麻省总医院看肺癌
成功可以复制,美国这家医院再次治好晚期乳腺癌
肿瘤复发,我去美国看病的日子
北京淋巴瘤患者赴美治疗后,体内癌细胞完全消失
疫情之下,美国肿瘤专家弛缓晚期肠癌患者